Cómo funciona Calcular índice compuesto

Los índices compuestos se utilizan en todos los ámbitos sociales y medioambientales para representar información compleja de varios indicadores como una única métrica que puede medir el progreso hacia un objetivo y facilitar la toma de decisiones. La herramienta Calcular índice compuesto admite los tres pasos principales del proceso de creación de índices: estandarizae variables de entrada a una escala común (preprocesamiento), combinar variables a una única variable de índice (combinación) y escalar el índice resultante a valores significativos (posprocesamiento).

Ilustración de la herramienta Calcular índice compuesto

Diseñar el índice

La creación de un índice adecuado depende de una cuidadosa consideración de la pregunta a la que intenta responder el índice, la elección de variables y los métodos aplicados. Resulta útil consultar a expertos en la materia y a los usuarios finales.

Considere lo siguiente al diseñar el índice:

  • Si estructurar o no las variables en subíndices. El concepto que mide el índice puede estar representado por varias dimensiones. Por ejemplo, un índice de vulnerabilidad podría estar compuesto por dominios de vivienda, transporte e ingresos, cada uno de ellos con varias variables. Puede construir subíndices para representar cada dimensión ejecutando la herramienta varias veces. Esto puede ayudar a la interpretabilidad y, dependiendo de los métodos utilizados, también puede cambiar los resultados del índice.
  • Cómo seleccionar las variables. Una práctica recomendada es reducir el número de variables de entrada manteniendo un número suficiente para capturar la información esencial necesaria para el índice. Un gran número de variables de entrada puede dificultar la interpretación del índice. Además, si varias variables pertenecen al mismo dominio, por ejemplo, la mediana de ingresos y la pobreza, la influencia de este dominio puede estar sobrerrepresentada en el resultado del índice. Si esta influencia no es intencionada, se conoce como ponderación no intencionada.

Más información sobre las prácticas recomendadas y consideraciones importantes para crear un índice adecuado

Establecer ponderaciones de variables

Las variables se ponderan para representar la importancia relativa de cada factor que contribuye al índice. Todos los pesos se configuran en 1 de manera predeterminada, lo que significa que cada variable se pondera igual. Sin embargo, puede ser importante señalar las diferencias en las contribuciones relativas de una variable en comparación con las demás. Al cambiar una de las variables a una ponderación de 2 y mantener las demás en 1, se indica que la variable debe considerarse el doble de importante que las demás en su contribución al índice final.

También puede utilizar ponderaciones que sumen 1. Por ejemplo, si se utilizan tres variables y una debe considerarse el doble de importante que las otras dos, puede utilizar valores de ponderación de 0,5, 0,25 y 0,25.

Si se combinan variables por el valor medio, las ponderaciones se aplican multiplicando cada variable por su ponderación respectiva. Si se combinan ponderaciones por la media geométrica, las ponderaciones se aplican elevando cada variable a la potencia de su ponderación respectiva.

Las ponderaciones tienen un impacto significativo en el índice resultante. Tanto si mantiene las ponderaciones iguales como si las modifica para favorecer variables, el uso de ponderaciones agrega subjetividad al análisis. Además, puede estar ponderando de manera no intencionada debido a la correlación y las diferencias de varianza entre las variables.

Más información sobre el impacto de la correlación y la varianza en el índice

Preprocesar variables

Para crear un índice adecuado, las variables deben estar en una escala compatible. Para ello, la herramienta dispone de opciones de preprocesamiento que adaptan las distintas variables de entrada a una escala de medición común para poder combinarlas adecuadamente. También puede invertir las variables para que el significado de los valores altos de cada variable se alineen entre sí.

Preprocesar las variables a una escala común.

Preprocesar variables para invertir la dirección

Tenga en cuenta el significado de los valores bajos y altos de cada variable y asegúrese de que sean coherentes entre sí. Por ejemplo, en un índice de vulnerabilidad social, las ubicaciones con ingresos medios más bajos son más vulnerables, pero las ubicaciones con porcentajes bajos de personas sin seguro son menos vulnerables; la dirección de estas variables se opone en el contexto de la finalidad del índice.

Invertir dirección de las variables

La inversión de la variable se calcula multiplicando cada valor por -1 y escalando el campo entre el rango original de la variable.

Preprocesar variables para utilizar la misma escala

La herramienta incluye varias opciones para escalar las variables utilizando el parámetro Método para escalar y combinar variables. Las opciones Combinar valores (media de valores a escala) y Diferencias de compuesto (media geométrica de valores a escala) escalan utilizando valores mínimo-máximo. La opción Combinar rangos (media de percentiles) escala utilizando percentiles. La opción Resaltar extremos (cantidad de valores por encima del percentil 90) escala utilizando valores binarios. La opción seleccionada se aplicará a todas las variables y los campos escalados resultantes se proporcionarán en la salida. Las siguientes opciones están disponibles:

  • Mínimo-máximo: las variables se escalan entre 0 y 1 utilizando los valores mínimo y máximo de cada variable. Este método es el más sencillo, ya que conserva la distribución de las variables de entrada y las escala a una escala de 0 a 1 que sea fácil de interpretar.

    Método de escalado Mínimo-máximo

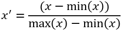
    Este método aplica la siguiente fórmula:

    Fórmula de mínimo-máximo

    Dado que este método conserva la distribución de variables, puede verse afectado por valores atípicos y distribuciones sesgadas. Por ejemplo, si hay un único valor atípico con un valor muy alto, el valor atípico recibirá un valor de 1, pero el resto de los valores serán similares y más cercanos a cero. Como consecuencia de la variación reducida en la variable preprocesada, esta variable puede tener menos influencia en el índice resultante.

    Este método también depende de los valores mínimo y máximo de los datos de entrada, lo que hace que sea menos adecuado para comparaciones de índice en varios periodos de tiempo, cuando los valores mínimo y máximo de una variable pueden cambiar con cada periodo de tiempo.

  • Percentil: las variables se convierten en percentiles entre 0 y 1. Este método puede ser útil cuando las clasificaciones de cada variable son más importantes que sus valores reales. También es sólido para los valores atípicos y las distribuciones sesgadas, ya que las variables se transforman en una distribución uniforme.

    Método de escalado Percentil

    Hay varias definiciones para los percentiles. Este método utiliza la siguiente fórmula:

    Fórmula de percentil,

    donde R es la clasificación ordinal (con el valor de clasificación mínimo en el caso de empates), N es el número de valores y P es el percentil resultante.

    Los percentiles indican la posición de un valor en relación con el resto de valores de la variable. Por ejemplo, aunque la diferencia de ingresos entre 50.000 y 60.000 dólares puede no ser sustancial, la diferencia de percentil puede ser considerable si hay muchas entidades con valores intermedios.

  • Marcar por umbral (binario): la variable se convierte a valores binarios (0, 1), que indican si el valor está por encima o por debajo de un umbral especificado. Este método es útil cuando es importante resaltar ciertos valores y la variación de los valores no importa.

    Método de escalado Marcar por umbral (binario)

    Este método no se ve afectado por los valores atípicos de las variables de entrada, pero se pierde la información del nivel de intervalo de cada variable de entrada, ya que cada variable se convierte a un formato binario (0, 1).

  • Valores sin procesar: se utilizan los valores originales de la variable. Este método solo se debe utilizar si todas las variables están en una escala comparable. Por ejemplo, utilice este método cuando todas las variables sean una unidad estándar, como porcentajes o partes por millón. Este método también puede ser útil cuando la estandarización o transformación de variables ya se ha producido.

Combinar variables

Una vez preprocesadas las variables a una escala común, se agregan para crear un valor único. La opción Combinar valores escalados (media de valores a escala) del parámetro Método para escalar y combinar variables agrega por media. El método Valores escalados compuestos (media geométrica de valores a escala) agrega por media geométrica. Resaltar extremos (cantidad de valores por encima del percentil 90) agrega por suma.

Suma y Valor medio son métodos aditivos. Media geométrica es un método multiplicativo.

Métodos aditivos

Los métodos de combinación Suma y Valor medio son relativamente sencillos de interpretar y se utilizan habitualmente en diversos índices. Los métodos son casi idénticos; dan lugar a distribuciones con la misma forma que solo difieren en la escala, y el mapa de índice resultante tendrá el mismo aspecto. Solo difieren los valores.

Métodos de combinación aditivos

Estos métodos permiten que los valores altos de una variable compensen los valores bajos de otra variable.

Compensación aditiva

Métodos multiplicativos

Los métodos multiplicativos tienen la ventaja de que no permiten que los valores altos de una variable compensen los valores bajos de otra variable; para que el valor de un índice sea alto, varias variables deben tener valores altos.

Métodos de combinación multiplicativos

Los métodos multiplicativos no compensan

La media geométrica es similar a la multiplicación. Un índice que utilice la media geométrica dará como resultado el mismo mapa que un índice que utilice la multiplicación para combinar variables, ya que la distribución tiene la misma forma, solo difieren los valores.

Postprocesar el índice

Una vez que las variables se han preprocesado y combinado en el índice sin procesar, el procesamiento posterior puede ayudar a que el índice sea más comprensible.

Invertir el índice

Considere la finalidad del índice y evalúe si los valores altos del índice son los previstos. Invertir el índice hará que los valores altos en el índice sin procesar se conviertan en valores bajos en el índice final y viceversa.

Invertir valores de índice

Escalar el índice utilizando los valores mínimo y máximo

Al usar los valores mínimo y máximo para escalar el índice, se cambia el rango del índice de salida. Esta opción puede ser más fácil de interpretar, independientemente de los métodos de preprocesamiento y combinación utilizados. Por ejemplo, especifique un valor Mínimo de 0 y un valor Máximo de 100 para escalar el índice sin procesar a este rango. Esta opción utiliza la siguiente fórmula:

Fórmula de escalado de índice de salida mínimo-máximo

donde x es el valor original, min(x) es el valor mínimo encontrado en el índice, max(x) es el valor máximo encontrado en el índice, a es el valor mínimo especificado, b es el valor máximo especificado y x' es el valor escalado.

Escalado de índice de salida mínimo-máximo

Interpretar los resultados

La capa de índice muestra la distribución de los valores de índice después de cualquier escalado o inversión opcional. La capa proporciona un mapa de coropletas continuo que se puede utilizar para evaluar los resultados del índice. Puede utilizar el mapa para evaluar valores de índice altos y bajos y conservar la distribución del índice y cualquier valor atípico.

Capa de índice

La capa también incluye los siguientes campos, que pueden utilizarse para explorar los resultados:

  • Un campo de percentiles que indica las posiciones relativas (clasificaciones) entre los valores del índice. Utilice este campo para explorar cómo se relacionan las ubicaciones entre sí en función de su clasificación en lugar de en sus diferencias de índice reales.
  • Un campo con el índice clasificado en cinco clases de intervalo equivalentes.
  • Un campo con el índice clasificado en cinco clases de cuantiles.
  • Un campo con el índice clasificado en seis clases de desviación estándar. Utilice este campo para explorar cómo se relaciona el valor del índice en cada ubicación con el valor medio del índice y para identificar ubicaciones con valores del índice extremadamente altos y bajos.

Recursos adicionales

Consulte el Manual de Construcción de indicadores de evaluación compuestos: metodología y manual del usuario de la Organización para la Cooperación y el Desarrollo Económico para obtener más información.