トレンド ラスターの生成ツールは、多次元イメージ レイヤーの 1 つまたは複数の変数のディメンションに沿って各ピクセルのトレンドを推定します。
出力はホスト イメージ レイヤーです。
例
このツールには、次のような使用例があります。
- 調和トレンド ライン オプションを使用して、10 年にわたって収集された日次降水量データに季節トレンドが見られるかを判定し、R2 適合度統計を検証します。
- 40 年以上にわたって収集した月次海洋温度データの各ピクセルの線形トレンド ラインを計算し、時間の経過に伴ってどこでどのように温度が変化したかを表示します。
使用上の注意
トレンド ラスターの生成には、入力レイヤー、トレンドの設定、結果レイヤーの構成が含まれます。
入力レイヤー
[入力レイヤー] グループには次のパラメーターがあります。
- [多次元またはマルチバンド イメージ レイヤー] は、解析対象のイメージ レイヤーです。 ツールで選択可能なイメージ レイヤーがない場合は、多次元イメージ レイヤーをマップに追加します。
- [ディメンション] は、抽出対象の統計です。 入力ラスターが多次元ラスターでない場合、このパラメーターは必要ありません。
- [変数] は、選択したディメンションに沿って集約される変数です。 変数を指定しない場合、選択したディメンションですべての変数が集約されます。
トレンドの設定
[トレンドの設定] グループには次のパラメーターがあります。
- [トレンド タイプ] は、ディメンションに沿ってピクセル値に対して実行する解析の種類を示します。

トレンドをディメンションに沿って変数値にフィッティングするための 3 つのトレンド ライン オプション (リニア、調和、多項式) があります。 次に、これら 3 つのトレンド フィッティング オプションについて説明します。 ライン オプションに加え、多次元イメージ レイヤーのピクセルに統計的に有意なトレンドがあるかどうかを判断するための 2 つのオプション (Mann-Kendall と Seasonal Mann-Kendall) があります。
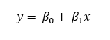
- [線形] - 線形トレンド ラインは、シンプルな線形リレーションシップの推定に使用されるベストフィット直線です。 線形トレンドは、一定の比率で増加または減少している変化率を強調します。 線形トレンド ラインの式は、次のとおりです。

- y = ピクセルの変数値
- x = ディメンション値
- ß0 = y インターセプト
ß1 = 変化の線形勾配または率
ß1 > 0 は、増加しているトレンドを示します。
ß1 < 0 は、減少しているトレンドを示します。
- [調和] - 調和トレンド ラインは、周期的なパターン (季節的な温度変化など) に従うデータを示す場合に最適に使用される、定期的に繰り返す曲線です。 調和トレンド ラインの式は、次のとおりです。

- y = ピクセルの変数値
- t = ユリウス日
- ß0 = y インターセプト
- ß1 = 変化率
- α, γ = 年次変化または年内変化の係数
- ω = i
- f = 高調波頻度
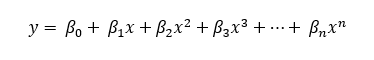
- [多項式] - 多項式トレンド ラインは、変動するデータに役立つ曲線です。 この場合、多項式の次数の値は、発生する変動の最大数を示すために使用されます。 多項式トレンド ラインの式は、次のとおりです。

- y = ピクセルの変数値
- x = ディメンション値
- ß0, ß1, ß2, ß3, ..., ßn = 一定係数
[Mann-Kendall] - ピクセル値は、Mann-Kendall トレンド検定を使用して評価されます。
Mann-Kendall 検定や Seasonal Mann-Kendall 検定は、データに単調トレンドがあるかどうかを決定するために実施します。 これらの検定はノンパラメトリックです。すなわち、特定のデータ分布は想定されません。 Mann-Kendall 検定では、自己系列相関も季節性も考慮されません。 データが季節性であれば、Seasonal Mann-Kendall 検定の方が適切です。- [Seasona Mannl-Kendall] - ピクセル値は、Seasonal Mann-Kendall トレンド検定を使用して評価されます。
- [線形] - 線形トレンド ラインは、シンプルな線形リレーションシップの推定に使用されるベストフィット直線です。 線形トレンドは、一定の比率で増加または減少している変化率を強調します。 線形トレンド ラインの式は、次のとおりです。
- 調和トレンド解析の [サイクル長] は、1 日または 1 年を通じてデータに表示される想定のサイクルの数と長さを示すために使用されます。 たとえば、データが 1 年間に 2 つの変動サイクルで処理される場合、サイクル長は 182.5 日または 0.5 年になります。 3 時間ごとに温度データを収集し、1 日に 1 サイクルの変動がある場合、サイクル長は 1 日になります。
- [サイクル単位] は、調和サイクルの長さに使用される時間単位です。
- 調和トレンド解析の頻度または多項式の次数は、 データにフィッティングする調和モデルを表すために使用されます。 頻度を 1 に設定すると、線形と 1 次調和曲線の組み合わせを使用して、モデルに適合します。 頻度が 2 の場合、線形、1 次調和曲線、および 2 次調和曲線の組み合わせがモデルのフィッティングに使用されます。 頻度が 3 の場合、追加の 3 次調和曲線を使用して、データをモデル化します。以降も同様です。
- [季節周期] は、Seasonal Mann-Kendall 検定を使用する際に、季節周期として使用される時間単位です。
- [モデルの統計] は、出力で計算される統計を指定します。 次のようなオプションがあります。
- [RMSE] - トレンド フィット ラインの RMSE (二乗平均平方根誤差) を計算するかどうかを指定します。 これを選択すると、RMSE が計算され、トレンド イメージ レイヤーのバンドの 1 つとして含められます。
- [R2] - トレンド フィット ラインの R2 適合度統計を計算するかどうかを指定します。 これを選択すると、R2 値が計算され、トレンド イメージ レイヤーのバンドの 1 つとして含められます。
- [傾斜係数の P 値] - トレンド ラインの傾斜係数の統計量 P 値を計算するかどうかを指定します。 これを選択すると、p 値が計算され、トレンド イメージ レイヤーのバンドの 1 つとして含められます。
- [NoData を無視] は、解析で欠損値を無視するか、解析の一部として見なすかを指定します。
結果レイヤー
[結果レイヤー] グループには次のパラメーターがあります。
- [出力名] は、作成および表示されるレイヤーの名前を指定します。 名前は、一意でなければなりません。 組織内に同じ名前のレイヤーがすでに存在する場合、ツールは失敗し、別の名前を指定するよう求められます。
- [フォルダーに保存] は、結果を保存する [マイ コンテンツ] 内のフォルダーの名前を指定します。
環境
解析環境設定は、ツールの結果に影響する追加パラメーターです。 ツールの解析環境設定には、[環境設定] パラメーター グループからアクセスできます。
このツールでは次の解析環境が適用されます。
出力
このツールには次の出力があります。
トレンド ライン オプションが選択された場合、すべてのピクセルのトレンドを推定する値を含む 1 つのイメージ レイヤー。
線形トレンド解析の場合、出力には、以下のとおり 3 バンド イメージ レイヤーが含まれます。
- バンド 1 = 勾配
- バンド 2 = インターセプト
- バンド 3 = RMSE またはベスト フィットのラインの周りの誤差
調和トレンド解析の場合、出力のバンド数は高調波周波数によって異なります。 周波数が 1 に設定されている場合、出力は次に示す 5 バンド イメージ レイヤーです。
- バンド 1 = 勾配
- バンド 2 = インターセプト
- バンド 3 = Harmonic_sin1
- バンド 4 = Harmonic_cos1
- バンド 5 = RMSE
周波数が 2 に設定されている場合、出力は次に示す 7 バンド イメージ レイヤーです。
- バンド 1 = 勾配
- バンド 2 = インターセプト
- バンド 3 = Harmonic_sin1
- バンド 4 = Harmonic_cos1
- バンド 5 = Harmonic_sin2
- バンド 6 = Harmonic_cos2
- バンド 7 = RMSE
多項式トレンド解析の場合、出力のバンド数は多項式の次数によって異なります。 2 次多項式フィッティングでは、次のように 4 バンド イメージ レイヤーが生成されます。
- バンド 1 = Polynomial_2
- バンド 2 = Polynomial_1
- バンド 3 = Polynomial_0
- バンド 4 = RMSE
3 次多項式フィッティングでは、次のように 5 バンド イメージ レイヤーが生成されます。
- バンド 1 = Polynomial_3
- バンド 2 = Polynomial_2
- バンド 3 = Polynomial_1
- バンド 4 = Polynomial_0
- バンド 5 = RMSE
Mann-Kendall 検定または Seasonal Mann-Kendall 検定のいずれかを実行するためにツールが使用される場合は、出力は次のように 5 バンド イメージ レイヤーになります。
- バンド 1 = Sen の勾配
- バンド 2 = P 値
- バンド 3 = Mann-Kendall スコア (S)
- バンド 4 = S バリアンス
- バンド 5 = Z スコア
使用法の要件
このツールには、次のユーザー タイプと構成が必要です。
- Creator、Professional、Professional Plus ユーザー タイプ
- 公開者もしくは管理者ロール、またはそれと同等のカスタム ロール
- 組織がプレミアム機能のライセンスでラスター解析用に構成されているときに使用可能
リソース
詳細については、次のリソースをご参照ください。
- ArcGIS REST API のトレンド ラスターの生成
- ArcGIS API for Python の generate_trend_raster
- ArcGIS Pro のトレンド ラスターの生成